Лямбда-цигалотрин Пиретроид Инсектицид

Химическое название:
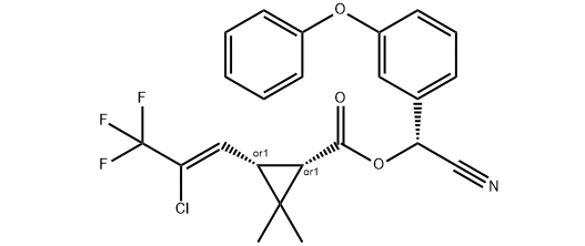
(1R,3R)-3-((Z)-2-Хлор-3,3,3-трифтор-пропенил)-2,2-диметил-циклопропанкарбоновая кислота (S)-циано-(3-фенокси-фенил)-метиловый эфир

Брутто-формула: C23H19ClF3NO3


  Свяжитесь с нами
Подробная информация о продукте

Употребление:

Пиретроид является тактильным, гастротоксичным пиретроидным инсектицидом. используется для борьбы с вредителями на хлопке, овощах, табаке и других культурах.

Химическое название:
(1R,3R)-3-((Z)-2-Хлор-3,3,3-трифтор-пропенил)-2,2-диметил-циклопропанкарбоновая кислота (S)-циано-(3-фенокси-фенил)-метиловый эфир

Брутто-формула: C23H19ClF3NO3

Structural formula:

Lambda Cyhalothrin Pyrethroids Insecticide.png

Молекулярный вес: 449.85

CAS No : 91465-08-6

Pгисические и химические свойства:

Чистый продукт - белое твердое вещество, промышленный продукт - светло-желтое твердое вещество. Давление пара 200×10-9Па (2,67×10-7Па) (20 °C)

Технические характеристики:95%TC, 25%EC, 25%WP, 2.5%EW

Упаковка:25 кг волокнистый барабан or 25 кг крафт мешок.


Форма продукта